TechneGuru@pm.me
☰
Planlegging, ledelse, livsmestring, bærekraft
Datanettverk
Serverdrift
DevSecOps
Sikkerhetsvurdering og tiltak
Linux
IOT
Elektronikk
Planlegging, ledelse, livsmestring og bærekraft
►
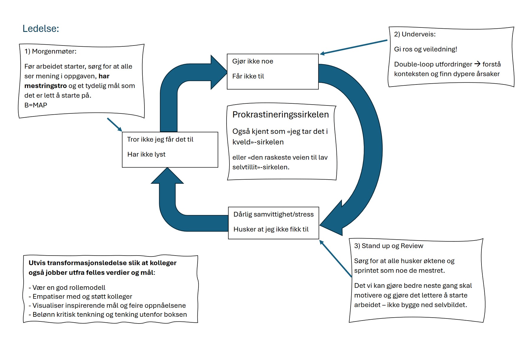
Transformasjonsledelse
Sympati og empati
Double-Loop learning
SMARTE mål
Løkmodellen
Mestring og prokrastinering
Teamarbeid (last ned)
Risikovurderinger
SJA og rapport uønsket hendelse
Bærekraftig utvikling
Kritisk tenking og akademisk skriving
Endringsledelse
Datanettverk
►
Lag 1: Det fysiske laget
Lag 2: Svitsjing og VLAN
Lag 3: Ruting
Lag 4: Transportlaget (TCP/UDP)
Lag 5: Sesjonslaget (Sockets & Handshakes)
Lag 6 & 7: Presentasjon og Applikasjon
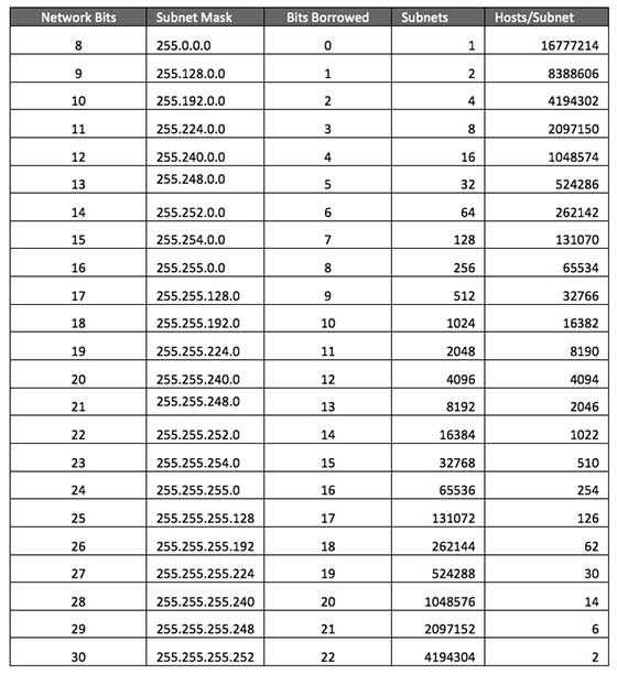
Nettverkssegmentering
Planlegging av nettverk
Serverdrift
►
Domener, DHCP, DNS, GPO
Virtualisering
Windows Server 2022
POLP, RBAC, AGDLP
Sikkerhetsvurdering og tiltak
►
Driftsikkerhet, datasikkerhet, risiko, CIA, AAA
UPS
Confidentiality
Integrity
Availability
Authentication, Authorization, Accountability
Linux
►
Linux intro
Kali Linux
Ubuntu LAMP-stack
IOT
►
IOT intro (last ned)
ESP32-S3 Kompendium
IOT-stack kompendium
DevSecOps
►
Introduksjon til DevSecOps
Infrastructure as Code (IaC)
Docker
Kubernetes
Git
CI/CD pipelines
Orkestrering og overvåkning
Elektronikk
►
Formelsamling (last ned)
Motstander
Kondensatorer
Spoler
Feilsøking